強磁性半導体(Ga,Mn)Asにおける
電流誘起磁壁移動速度と磁壁抵抗



はじめに

本研究[1]では膜面垂直方向に磁化容易軸を持つ(Ga,Mn)Asにおいて磁壁移動速度の電流密度依存性を測定し、理論との定量的な比較から電流誘起磁壁移動の機構について調べました。また、磁壁1枚当たりの抵抗を実験的に求め、その起源を明らかにしました[2]



電流誘起磁壁移動速度


試料構造と測定方法

試料は分子線エピタキシ法により成長しました。試料構造は図1(a)のようになっています。(In,Al)Asバッファ層は(Ga,Mn)As層の磁化容易軸を膜面垂直方向にするために成長しました。(Ga,Mn)As層の強磁性転移温度TCは115 K程度です。試料を幅 5 µmのチャネル構造に加工した後、(Ga,Mn)As表面のエッチングによって図1(b)のような(Ga,Mn)As膜厚の異なる二つの領域を作製しました。そして磁区観察を行う領域以外のチャネル上にAu/Cr電極パッドを形成しました。図1(b)に示した構造では、(Ga,Mn)As膜厚の異なる領域間に保磁力差が生じるため、その保磁力差を利用して外部磁界で段差境界に磁壁を初期配置することができます。

測定は次の方法で行いました。まず、外部磁界で段差境界に磁壁を初期配置し、外部磁界をゼロとしました。この状態を初期状態とします。そして、暗状態でチャネルに電流パルスを印加して磁壁を移動させ、電流パルス印加後の磁区像をKerr効果偏光顕微鏡で観察しました。最後に磁区像のコントラストを改善するため、電流パルス印加後と初期状態の磁区像の差分をとりました。そのため、以降で示す磁区像は磁壁移動によって磁壁が掃引した領域のみのコントラストが変化した像となります。

図 1.(a) 試料構造の模式図。(b) 電流誘起磁壁移動速度を測定するための素子の模式図。



実験結果 (1)

図2(a)は、周囲温度Tn = 100 Kにおいて、電流密度j = 8.0x105 A/cm2の電流パルスを印加した後の磁区像のパルス幅wp依存性です。磁区像の明るい領域は、磁壁移動によって磁壁が掃引した領域を表しています。図2(a)から磁壁は電流と逆方向に移動することがわかります。また磁壁が掃引した領域の面積はwpとともに増加することがわかります。ここで、磁壁が掃引した領域の面積をチャネル幅で割ったものを実効的な磁壁移動距離deffと定義しました。図2(b)は図2(a)から得られたdeffのwp依存性です。deffはwpに対してほぼ線形に変化します。本研究では、段差境界から離れたdeff > 15 µmにおけるdeffのwpに対する線形な傾きを実効的な磁壁動速度veffと定義して、Tnを変化させてveffのj依存性を測定しました。また、印加した電流パルスによるジュール熱で素子温度は上昇するため、本研究では電流パルス印加中の素子抵抗と素子抵抗の温度依存性を比較することにより、素子温度の補正を行いました。

図 2.(a) Tn = 100 K、j = 8.0x105 A/cm2の場合の磁区像のパルス幅wp依存性。(b) (a)に示した磁区像から求めた実効移動距離deffのwp依存性。破線はdeff > 15 µmにおける線形フィッティング。



実験結果 (2)

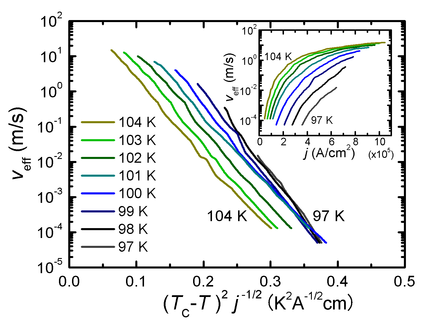
以上の方法を用いて得られた補正温度におけるveffのj依存性を図3(線形プロット)、図4挿入図(片対数プロット)に示します。veffのj依存性には閾値電流密度jcがあり、それよりも高電流密度の領域( j > ∼3x105 A/cm2 )において、veffはjに対して線形に変化します(図3)。また、低電流密度領域においては、ゆっくりとした磁壁移動が観測され、veffはjに対して急激に変化します(図3、図4挿入図)。

磁壁移動速度の電流密度依存性に関する理論の一つとして、多々良、河野により提案された内因性ピンニング理論[3]があります。この理論によると異方性エネルギに関係した閾値電流密度が存在し、それ以下の電流密度では磁壁は移動しません。閾値電流密度以上の電流密度においては、電流を担うキャリアから磁壁を構成している局在磁気スピンへスピンが与えられること(スピン移行)で磁壁が移動します。実験結果と内因性ピンニング理論との定量的な比較を行った結果、高電流密度領域の磁壁移動はこの理論で良く説明できることが分かりました。低電流密度領域においては、veffがln(veff) = a(T) - b(T) jによって図4に示すように広い磁壁移動速度の範囲でスケーリングできることが分かりました。ここでν ∼ 1/2、a(T) ∼ (TC−T)、b(T) ∝ (TC−T)2です。このスケーリング式は磁界による磁壁のクリープの場合の磁壁移動速度の磁界強度依存性[4]において、磁壁に対する電流と磁界の作用が等価だと仮定することによって求めました。このことから、低電流密度領域においては、電流により磁壁のクリープが誘起されていると考えられます。

図 3.補正温度におけるveffのj依存性の線形プロット。



図 4.補正温度においてveffを(TC - T)2 j-1/2に対してプロットした図。挿入図は補正温度におけるveffのj依存性の片対数プロット。



磁壁抵抗

表面パターニングにより深さ一定の溝を形成し、溝の段差に磁壁を位置させました[図5(b)]。素子幅を変えて磁壁の面積を変えた素子を用いて、磁壁による電気抵抗の測定を行いました。磁壁による電気抵抗の内、電磁気学的効果による電気抵抗は磁壁面積に依存しないのに対して、伝導電子と磁壁との相互作用による電気抵抗は磁壁面積に反比例することを利用して、電磁気学的効果と区別して伝導電子と磁壁との相互作用による電気抵抗を算出しました。その結果、55 Kでの面積あたりの磁壁抵抗は、〜0.5 Ωμm2であることが判りました。


図 5.作製した試料構造(a)・(b)と(b)の断面図(c)。Device A・Bはともにワイヤー状の構造をしており、Device Bは表面を交互にエッチングして段差構造としている。


図 6.(a)Device Aと(b)Device Bの磁気抵抗曲線。Device Bでは磁壁の存在に起因した抵抗のジャンプが観測された。挿入された写真は磁気光学顕微鏡により観測された磁区像であり、磁壁の有無と抵抗の増減は良く対応していることが分かる



まとめ

本研究では、膜面垂直方向に磁化容易軸を持つ(Ga,Mn)Asにおいて磁壁移動速度の電流密度依存性を測定しました。実験結果と理論の定量的な比較の結果、高電流密度領域(j > ∼3x105 A/cm2)における磁壁移動は、キャリアスピンから局在磁気スピンへのスピン移行による磁壁移動(内因性ピンニング)でよく説明できることが分かりました。低電流密度領域における磁壁移動は、磁界による磁壁のクリープについてのスケーリング式との比較から電流による磁壁のクリープが誘起されていると考えられます。また、磁壁の抵抗は電磁気学的な効果が支配的ですが、伝導電子と磁壁との相互作用がもたらす効果が僅かながら存在することが確かめられました。上向きと下向きの伝導電子のスピンの混成により生ずる磁壁抵抗の理論がその値を良く説明することが明らかになりました。



文献

[1] M. Yamanouchi, D. Chiba, F. Matsukura, T. Dietl, and H. Ohno, Phys. Rev. Lett. 96, 096601 (2006).
[2] D. Chiba, M. Yamanouchi, F. Matsukura, T. Dietl, and H. Ohno, Phys. Rev. Lett. 96, 096602 (2006).
[3] G. Tatara and H. Kohno, Phys. Rev. Lett. 92, 086601 (2004).
[4] S. Lemerle et al., Phys. Rev. Lett. 80, 849 (1998).



戻る